土壌の水分保持能力を理解することは農業や環境管理において非常に重要です。私たちは水分特性曲線とは何かを深く掘り下げることで、土壌がどのように水を保持し供給するかを明らかにします。この曲線は土壌の物理的特性とその水分動態を示すため、農作物の生育や灌漑計画にも大きな影響を与えます。
この記事では水分特性曲線とは具体的にはどのようなものなのか、その分析方法や実際の応用について詳しく解説します。また、私たちが日常生活で直面する問題に対してもこの知識がどれほど役立つか考えていきましょう。あなたは自分の土地や庭で最適な水管理ができていますか?それとも改善点がありますか?
水分特性曲線とは何か
水分特性曲線とは、土壌がどの程度の水分を保持できるかを示すグラフです。この曲線は、土壌中の水分量とそのポテンシャル(または吸引力)との関係を表現します。具体的には、水分特性曲線は、土壌が異なる湿度条件下でどれだけの水を保持し、どれだけの圧力でそれを放出するかを視覚化したものです。この情報は、農業や環境管理において非常に重要な役割を果たします。
水分特性曲線の構成要素
この曲線は主に以下の要素から構成されています。
- 飽和点: 土壌が完全に水で満たされている状態。
- フィールド容量: 土壌が自然状態で保有できる最大限の水分量。
- プラスティック限界: 植物が利用可能な水分が最小となるポイント。
- 乾燥点: 植物が生育するためには不十分な水分レベル。
これらのポイント間では、水分含量と土壌ポテンシャルとの変化を見ることができます。一般的に、飽和状態から乾燥点まで進むにつれて、土壌ポテンシャルは増加し(水不足)、植物への影響も大きくなります。
水分特性曲線による分析
この分析手法にはいくつかの利点があります:
- 作物選定: 異なる作物ごとに最適な土壌タイプや管理方法を理解する助けになります。
- 灌漑計画: 灌漑スケジュールや必要な水量を計画する際にも役立ちます。
- 持続可能な農業実践: 環境への影響を考慮した持続可能な農業技術導入への指針となります。
私たちは、このようにして得られるデータによって、水資源管理や作物生産効率向上につながる戦略的アプローチを行うことができます。
土壌の水分保持能力の重要性
土壌の水分保持能力は、農業や生態系において極めて重要な要素です。私たちは、この能力が作物の成長、収穫量、さらには土地の持続可能性に直結していることを理解しています。特に、水分特性曲線によって示される土壌の水分保持能力は、異なる湿度条件下でどれだけ効率的に水を利用できるかを明らかにします。このため、適切な灌漑計画や作物管理戦略を立てる際には欠かせない情報となります。
土壌の水分保持能力がもたらす影響
土壌が持つ水分保持能力は、多くの側面で影響を与えます。以下のような点が挙げられます:
- 作物生育: 水不足は植物の成長を阻害し、生産性を低下させます。
- 栄養素供給: 水分が十分であることで、必要な栄養素が根から吸収されやすくなります。
- 環境保護: 適切な水管理は、土壌侵食や浸食防止にも寄与します。
これらの観点からも、水分保持能力は単なる数値ではなく、それぞれの農場やエコシステム全体への影響を考慮する上で非常に重要です。
農業実践への応用
私たちがこの知識を活用することで、具体的には以下のような効果があります:
- 効果的な灌漑方法: 土壌タイプに基づいた灌漑スケジュールによって、水資源を効率的に使用できます。
- 持続可能な農業技術: 環境負荷を軽減しながら、高い作物生産性と品質向上につながる技術開発が促進されます。
- リスク管理: 乾燥期や異常気象時でも安定した生産活動を維持するため、有効な対策として機能します。
このように見ていくと、水分特性曲線とはただ単純に数字を見るものではなく、それぞれの経営戦略や環境保護活動とも強く関連していることがわかります。
水分特性曲線の測定方法
水分特性曲線を正確に測定することは、土壌の水分保持能力を理解する上で不可欠です。このプロセスにはいくつかの方法があり、それぞれ異なる条件や目的に応じて選択されます。以下では、一般的な測定方法について詳しく説明します。
1. 水分テンション法
この方法では、水分テンションを利用して土壌の水分特性曲線を作成します。具体的には、次の手順が含まれます:
- サンプル採取: 土壌サンプルを異なる深さから採取し、乾燥させます。
- 水分量測定: 各サンプルに一定の圧力(テンション)を加え、その際の水分量を記録します。
- データ解析: 得られたデータから、水分特性曲線を描きます。
2. 透過試験法
透過試験法は、土壌中の水流動とその保持能力を評価するために用います。この方法では、以下のような手順があります:
- カラム設置: 特殊なカラム装置に土壌サンプルを入れます。
- 浸透試験: カラム内で一定速度で水を供給し、水位変化や流出量を計測します。
- 解析:< / strong>: 流出パターンから土壌の透過係数や保持能力が算出されます。
3. 統計モデルによる推定
AもBも行うことが難しい場合、既存データと統計モデルによって推定することも可能です。このアプローチでは:
- 既存データ収集: 土壌タイプごとの歴史的な水分保持情報などが必要です。
- モデル構築: strong >: 収集したデータから回帰分析などによってモデル化し、新たな予測値を生成します。
${keyword}とは、その重要性ゆえに様々な手法で測定されることがわかります。それぞれの方法には利点と欠点がありますので、目的や環境に応じて最適なものを選ぶことが肝要です。また、この知識は農業現場で実践的な効果につながり、生産性向上にも寄与すると言えるでしょう。
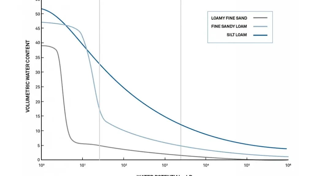
異なる土壌タイプとその水分特性
土壌の水分特性は、土壌タイプによって大きく異なります。各土壌タイプは、その粒子サイズ、構造および有機物含量に基づいて異なる水分保持能力を示します。このセクションでは、主要な土壌タイプについて、それぞれの水分特性曲線を理解するための特徴を詳しく見ていきます。
1. 粘土質土壌
粘土質の土壌は、小さな粒子から成り、水分を非常に良く保持します。そのため、水分特性曲線は傾斜が急で、飽和状態から急速に水分降下が見られることが特徴です。具体的には:
- 高い保水能力: 粘土質は細かいため、多くの空隙があり、水を大量に保持できます。
- 排水不良: 過剰な水分が残りやすく、根腐れなどの問題を引き起こす可能性があります。
2. シルト質土壌
シルト質の土壌は、粘度と砂質との中間的な特性を持ちます。このため、水分保持力も中程度であり、水分特性曲線は比較的緩やかになります。主な特徴として:
- 適度な排水: 水は程よく流れ出し、高湿度環境でも根系への酸素供給がしやすいです。
- 栄養素保持: 有機物とともに栄養素も保持できるため、植物生育にも適しています。
3. 砂質土壌
砂質の土壌は、大きな粒子から成り立っており、その結果として非常に良好な排水性能があります。ただし、この利点には欠点もあります。具体的には:
- 低い保水能力: 水が迅速に流出するため、一時的には乾燥になりやすいです。
- Perculiar water retention curve:: 水分特性曲線は平坦であり、高まったテンション下でもわずかな変化しか見られません。
| 土壌タイプ | 保持能力 | 排水性能 |
|---|---|---|
| 粘土質 | 高い | 低い |
| シルト質 | 中程度 | 中程度 |
${keyword}とは、これら様々な土壌タイプごとの理解なしには評価できません。それぞれの特徴によって農業管理方法も異なるため、自身のプロジェクトに最適なアプローチを考えることが重要です。」
農業における水分管理とその影響農業における水分管理は、作物の生育や収量に直接的な影響を与える重要な要素です。適切な水分管理が行われない場合、植物はストレスを受け、生育不良や病害虫の発生を招くことがあります。このセクションでは、水分特性曲線とは密接に関連する水分管理の方法と、その効果について詳しく探ります。
1. 水分管理の重要性
土壌中の水分は、植物がその成長過程で必要とする栄養素を吸収するために欠かせません。以下のような理由から、水分管理は非常に重要です:
- 作物の健康: 適切な水供給があれば、作物は健全に成長し、高品質な果実を実らせます。
- 効率的な資源利用: 過剰または不足した水分によって無駄が生じるため、適切な管理が求められます。
- 環境への配慮: 無駄遣いを減らし、水資源を持続可能に使うことも重要です。
2. 水分特性曲線との関係
${keyword}とは、土壌内でどれだけの水分を保持できるかという特性を示しています。この曲線を理解することで、私たちは土壌タイプごとの最適な灌漑方法や施肥計画を立てることができます。具体的には:
- 粘土質土壌: 保水能力が高いため、一度湿った状態になると乾燥まで時間がかかります。そのため、水やり頻度は少なくて済むでしょう。
- シルト質土壌: 中程度の保水力であるため、不足しないよう定期的なチェックが必要です。
- 砂質土壌: 迅速に乾燥してしまうので、小まめに灌漑する必要があります。
| 土壌タイプ | 水分保持能力 |
|---|---|
| 粘土質 | 高い |
| シルト質 | 中程度 |
A través de un manejo adecuado del agua, podemos maximizar los beneficios que ofrece cada tipo de suelo, asegurando así una producción agrícola más sostenible y eficiente.
